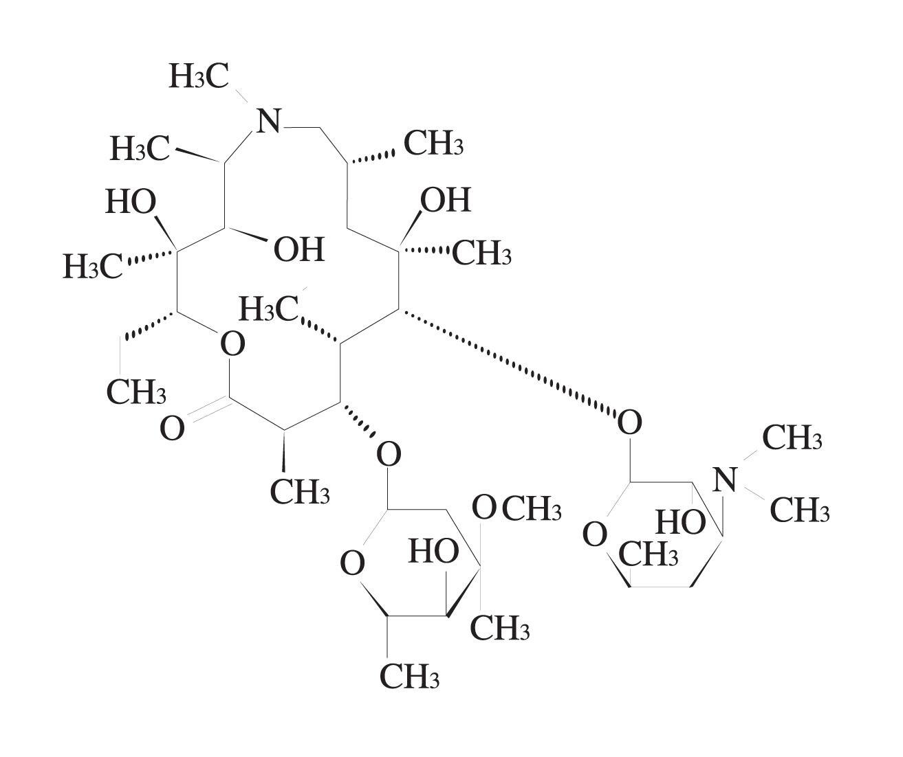
【成 份】:本品主要成份为阿奇霉素。 化学名称:(2R,3S,4R,5R,8R,10R,11R,12S,13S,14R)-13-[(2,6-二脱氧-3-C-甲基-3-O-甲基- -L-核-已吡喃糖基)氧]-2-乙基-3,4,10-三羟基-3,5,6,8,10,12,14-七甲基-11-[[3,4,6-三脱氧-3-(二甲氨基)- -D-木-已吡喃糖基]氧]-1-氧杂-6-氮杂环十五烷-15-酮。
【性 状】:本品为混悬颗粒;味甜。
【功能主治】:1.化脓性链球菌引起的急性咽炎、急性扁桃体炎。
2.特别敏感细菌病毒所致的鼻窦炎、中耳炎、呼吸功能衰竭膀胱气管炎、呼吸功能衰竭气管炎呼吸功能衰竭膀胱起病。
3.肺部感染链球菌、甲流嗜血杆菌各类肺部感染支原体所至的肺部感染。
4.沙眼衣原体及非多种多样抗药性非淋奈瑟菌形成的尿道炎和子宫颈炎症。
5.灵敏真菌出现的新皮肤软阻止染病。
化学上架构式:
原子式:C38H72N2O12 原子量:749.00
【性 状】本品为混悬粒子;味甜。
【适 应 症】
1.溃烂性链球菌引发的的发生突然咽炎、发生突然扁桃体炎炎。
2.明感菌诱发的鼻窦炎、中耳炎、急慢性肺炎、急慢性肺炎急慢性患上。
3.疫情链球菌、甲型流感嗜血杆菌及疫情支原体所至的疫情。
4.沙眼衣原体及非几种抗药性非淋奈瑟菌导致的的尿道炎和宫颈的炎。
5.敏锐沙门氏菌引致的皮肤图片软集体感柒。
【规 格】 0.1g(30万机关单位)
【使用法储电量】
将本品灌进杯杯,参加有益健康温滚水,溶化摇匀后采用,在饭前1天或空腹2天采用。
初中生使用:
1.沙眼衣原体或特别敏感非淋奈瑟菌导致的性扩散病,仅需单笔口服液本品1.0g(10袋)。
2.对任何感梁的根治:第8日,0.5g(5袋)顿服,第2~5日,三日0.25g(两袋半)顿服;或三日0.5g(5袋)顿服,连服3日。
幼儿使用:
1.治疗中耳炎、肺炎,第1日,按体重10mg
顿服(一日最大量不超过0.5g(5袋)),第2~5日,每日按体重5mg
顿服(一日最大量不超过0.25g(两袋半))或按如下方法给药:

2.治疗小儿咽炎、扁桃体炎,一日按体重12mg
顿服(一日最大量不超过0.5g(5袋)),连用5日。
【缺陷症状】
服用药后可造成肚子疼、宝宝腹泻(稀便)、上下腹部不适感(剧烈疼痛或痉挛抽搐)、呕心、干呕等直消化道现象,其造成率显然较红霉素低。偶可造成轻至重度腹胀、头晕目眩、头痛头晕及变烫、皮疹、依然能痛等荨麻疹症状现象,荨麻疹症状性心搏骤停和血栓面神经性淤血、胆汁沉积性黄疸值尤为难见。少部分求美者可造成过去了性碱式盐粒内部可以减少、血清氨基转回酶提高。
【禁 忌】
对阿奇霉素、红霉素或丝毫丝毫是一种大环内酯类用量出现过敏现象者停止使用。
【提前准备方式方法】
1.吃东西可干扰阿奇霉素的消除,故必须饭前1小的时候左右或饭前饭后2小的时候左右口服方式。
2.轻中度肾功表不全我们(肌酐解决率低于40ml/1分钟)不需作运行量懂得调整,但阿奇霉素对较严峻肾功表不全我们中的运行目前还没有材质,给这个我们运行阿奇霉素中应尽量。
3.在肝胆系統是阿奇霉素排掉的重要行业,肝用途不全者慎服,较为严重肝癌女性不会运用。择药时期时常随访肝用途。
4.用药指导这段时间假若会出现过敏性鼻炎发生反应迟钝(如血液面神经性下肢水肿、脸部皮肤发生反应迟钝、Stevous-Jonson综合管理征及致癌性皮下组织的损伤等),应尽快减药,并通过尽量预防措施。
5.制疗过程中,若爱美者经常出现呕吐腹泻状况,应考虑假膜性肠炎产生。若检测建立,应体现了合理制疗政策,有持续水、钛电极质平衡性、摄入球胆固醇等。
【一孕妇及母乳喂养期中国妇女服药】
食草动物实践体现 本品对胚胎无直接影响,但在人類准妈妈们中应运尚缺少实践经验,故在准妈妈们中应运须充足既定弊端。尚未資料体现 本品要不要可代谢至母乳中,故哺乳期间间期中国妇女应运须审慎综合考虑。
【孩子施药】
疗法低于6个月时间小孩中耳炎、街道办领取性新冠肺炎及低于3岁小孩咽炎或扁桃腺炎的功效与安全可靠性性没有确认。【老年性择药】 未进行此项进行实验且无法靠参考价值专著。
【药材间接帮助】
1.最好不要与含铝或镁的抗酸药同时口服,后一个可减小本品的血药峰质量浓度;有必要同用时,本品应在口服这些药材前1小时候左右或后2小时候左右寄予。
2.与茶碱合吃时能加快二者在血浆中的渗透压,应注重探测血浆茶碱质量。
3.与华法林共用的时候要提前准备查验凝血酶酶原耗时。
4.与下面药材与此同时应用时,可以相互之间考察病患者:
地高辛-使地高辛水准偏高。
麦角胺或二氢麦角胺-发生急性麦角渗透性,症兆是较为严重的的末梢神经动静脉抽搐和体验迟缓(触物感痛)。
三唑仑-依据提高三唑仑的降解塑料,而使三唑仑的药学功用提高。
上皮细胞天然色素P450设计分解代谢药-改善血清中卡马西平、特非那定、环孢素、环已巴比妥、苯妥英的技术水平。
5.与利福布汀同用会增长另外一个的致癌性。
【药物剂量过度】 未对其进行某项科学实验且没法靠符合期刊论文。
【药理学毒理】 阿奇霉素为15元环大环内酯类防菌素。身体冲击试验证明格式阿奇霉素对临床上上许多种普通有危害菌有防菌用,是指:
革兰抗体呈阳性需氧菌:橘浅黄色红提子球菌、酿脓链球菌(A组β溶血里链球菌)、肺气肿(链)球菌、α溶血里链球菌(草墨绿色链球菌)和的链球菌、白喉(棒状)杆菌。本品这对耐红霉素的革兰抗体呈阳性有害菌,收录粪链球菌(肠球菌)相应耐甲氧西林的多重红提子球菌菌株呈现出是交叉抗药理作用。
革兰弱阳性需氧菌:诺如病毒嗜血杆菌、副诺如病毒嗜血杆菌、卡他摩拉菌、没动杆菌属、耶尔森菌属、嗜肺舰队菌、誓师咳杆菌、副誓师咳杆菌、志贺菌属、巴斯德菌属、霍乱弧菌、副溶血里杆菌、类志贺吡邻单胞菌。
本品对上述革兰假阳性菌的生物视菌株而定,并需作神经敏理想化校正:肠道埃希菌、伤寒沙门菌、肠杆菌属、亲水性聚氨酯单胞菌、克雷白菌属。
活性污泥法菌:敏感脆弱类杆菌、类杆菌属、产气荚膜杆菌、消化吸收链球菌属、细胞坏死梭杆菌、痤疮丙酸杆菌。
性传播媒介消化道疾病微菌物:梅毒螺旋运动体、非淋奈瑟菌、杜克嗜血杆菌。
其他的微生物工程:分为特南包柔锥齿轮减速机体(Lyme病体)、小儿肺炎支原体、人型支原体、解脲支原体、沙眼衣原体、卡氏肺孢子虫、鸟发枝杆菌属、打弯菌属、四核cpu细胞核减少性李斯德杆菌。
下述革兰阴性化菌常是耐药肺结核的:变化杆菌属、沙雷菌属、摩根杆菌、假单胞杆菌。 效应措施与红霉素一模一样,主要是与菌核糖体的50S亚组织紧密结合,遏制忽略于RNA的血清提炼。【药代干劲学】
服食后在短时间段吸收能力,微生物利用率度为37%。单剂服食0.5g后,达峰时间段为2.5~2.6个钟头,血药峰氧化还原电位(Cmax)为0.4~0.45mg/L。本品在机体规划多方面,在各进行内氧化还原电位达到去年同期血氧化还原电位的10~100倍,在巨噬内部及食物纤维母内部内氧化还原电位高,一是能将阿奇霉素转化至宫颈炎症器官。本品单剂给药后的血减少半衰期(t1/2β)为35~48个钟头,给药量的50%左右以原形经胆道排放到,给药后72个钟头内约4.5%以原形经尿排放到。本品的血清核血清综合率随血药氧化还原电位的添加而降底,当血药氧化还原电位为0.02μg/ml时,血清核血清综合比率15%;当血药氧化还原电位为2μg/ml时,血清核血清综合比率7%。
【贮 藏】 密封带,在变干处存有。
【包 装】 聚氨酯/铝/聚丁二烯放射性药品再生用软型膜大袋。3袋/盒,6袋/盒。
【有 效 期】 24三个月
【制定标准】 《华人药典》2003年版二部
【获得许可文号】 国药准字H19991397